芬芳襲人花枝俏,喜氣盈門捷報到。心花怒放看通知,夢想實現今日事。喜笑顏開憶往昔,勤學苦讀最美麗。繼續(xù)揚鞭再向前,前途無量正燦爛。努力備考,愿你前途無量,考入理想院校。以下是為大家整理的《成人高考高起點《數學》模擬試題》 供您查閱。
一、選擇題:本大題共17個小題,每小題5分,共85分。在每小題給出的四個選項中,只有一項是符合題目要求的。
第1題

答案:B
第2題

答案:C
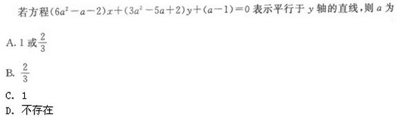
第3題

答案:C
第4題

答案:A
第5題

答案:D
第6題

答案:D
第7題

答案:D
第8題

答案:A
第9題

答案:D
第10題

答案:A
第11題

答案:B
第12題

答案:A
第13題

答案:B
第14題

答案:B
第15題 從15名學生中選出兩人擔任正、副班長,不同的選舉結果共有( )
A.30種 B.90種 C.210種 D.225種
答案:C
第16題

答案:A
第17題

答案:B
二、填空題:本大題共4小題,每小題4分,共16分。把答案填寫在題中的橫線上。
第18題

答案:x+y-1=0
第19題 直線y=kx+2與拋物線y2=8x只有一個公共點,則k的取值范圍是__________。
答案:0和1
第20題

答案:685
第21題

答案:-(7/15)
三、解答題:本大題共4小題,共49分。解答應寫出推理、演算步驟。
第22題 有一邊長為8cm的正方形鐵片,在各角剪去相同的小正方形,把四邊折成一個無蓋盒子,問剪去小正方形的邊長為多少時才能使鐵盒的容積.
答案:

第23題

答案:

第24題

答案:


第25題

答案:

一、選擇題:本大題共17個小題,每小題5分,共85分。在每小題給出的四個選項中,只有一項是符合題目要求的。
第1題

答案:B
第2題

答案:C
第3題

答案:C
第4題

答案:A
第5題

答案:D
第6題

答案:D
第7題

答案:D
第8題

答案:A
第9題

答案:D
第10題

答案:A
第11題

答案:B
第12題

答案:A
第13題

答案:B
第14題

答案:B
第15題 從15名學生中選出兩人擔任正、副班長,不同的選舉結果共有( )
A.30種 B.90種 C.210種 D.225種
答案:C
第16題

答案:A
第17題

答案:B
二、填空題:本大題共4小題,每小題4分,共16分。把答案填寫在題中的橫線上。
第18題

答案:x+y-1=0
第19題 直線y=kx+2與拋物線y2=8x只有一個公共點,則k的取值范圍是__________。
答案:0和1
第20題
答案:685
第21題

答案:-(7/15)
三、解答題:本大題共4小題,共49分。解答應寫出推理、演算步驟。
第22題 有一邊長為8cm的正方形鐵片,在各角剪去相同的小正方形,把四邊折成一個無蓋盒子,問剪去小正方形的邊長為多少時才能使鐵盒的容積.
答案:

第23題
答案:

第24題

答案:


第25題
答案:


