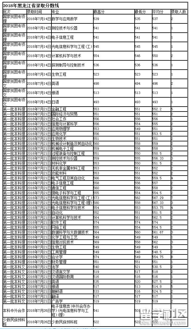
長春理工大學(xué)2018黑龍江各批次錄取分?jǐn)?shù)線

字號:


    出國留學(xué)網(wǎng)整理了長春理工大學(xué)2018黑龍江各批次錄取分?jǐn)?shù)線,更多該大學(xué)在各省錄取分?jǐn)?shù)線,本網(wǎng)將持續(xù)更新,請關(guān)注。
    長春理工大學(xué)2018黑龍江各批次錄取分?jǐn)?shù)線